10.24265/horizmed.2024.v24n3.17

Artículos de revisión

La enfermedad de mano, pie y boca en niños: una revisión sistemática

Hand, foot and mouth disease in children: a systematic review

José Uberli Herrera Ortiz*  1  , Licenciado en Enfermería, doctor en Salud
http://orcid.org/0000-0001-8491-1132

Aníbal Oblitas Gonzáles1  , Licenciado en Enfermería, doctor en Salud
http://orcid.org/0000-0002-3578-7558

Wilder Ovidio Carranza Carranza1  , Licenciado en Enfermería, doctor en Salud
http://orcid.org/0000-0001-5365-9499

1Universidad Nacional Autónoma de Chota, Facultad de Ciencias de la Salud, Escuela Profesional de Enfermería. Chota, Perú.


RESUMEN

La enfermedad de mano, pie y boca es una afección infectocontagiosa recurrente en los niños que viven bajo condiciones sanitarias deficientes, sobre todo en países en vías de desarrollo, donde en los últimos años se ha reportado un incremento sustancial de la enfermedad. El estudio tuvo como objetivo describir y analizar la presencia de esta enfermedad en niños, y se centró en los aspectos teóricos más resaltantes que la caracterizan. Para ello se llevó a cabo una revisión sistemática de la literatura en PubMed, Google Scholar y Literatura Latinoamericana y del Caribe en Ciencias de la Salud (LILACS), mediante operadores lógicos como "EMPB" OR "Coxsackie A16" AND “Children" y “Coxsackievirus Infections” AND “Child”. Se identificaron 584 investigaciones en idioma español e inglés publicadas entre el 2010 y el 2022, de las cuales, luego de un proceso de valoración de la calidad científica por listas de comprobación, criterios de calidad y fuerza de recomendación pertinente y método PRISMA, se eligieron 40 artículos, a los que se les adicionaron tres registros de literatura gris, y se seleccionaron 43 registros para el análisis cuantitativo de datos. La enfermedad de mano, pie y boca muestra mayor incidencia en el continente asiático (India, Singapur, Japón y China), donde cada año se producen brotes epidémicos que afectan principalmente a la población infantil. Es producida por varios serotipos como el A5, A7, A10, B1, B2, B3 y B5; sin embargo, los virus coxsackie A16 (CA16) y el enterovirus-71 (EV-71) son los más frecuentes entre los niños. Produce fiebre, exantema papulovesicular en manos, pies y genitales, además de lesiones ulcerosas en la boca; su periodo de incubación es de cuatro a seis días y se transmite por el contacto directo con secreciones, material fecal u objetos contaminados; su diagnóstico es clínico y basado en antecedentes epidemiológicos; y, al no existir tratamiento específico, solo se toman medidas generales para aliviar la clínica y prevenir la deshidratación. En la actualidad, existen brotes y serotipos que producen diversas complicaciones como encefalitis, miocarditis, hepatitis, conjuntivitis hemorrágica aguda, enfermedades entéricas, herpangina, entre otras; por esta razón, se requiere estricta vigilancia epidemiológica de los casos y contactos, así como intervenciones de educación y comunicación en salud que reduzcan los riesgos de propagación e infección.

Palabras clave: Enfermedad de Boca, Mano y Pie; Niño; Infecciones por Coxsackievirus


ABSTRACT

Hand, foot and mouth disease is a recurring contagious infection in children living under poor sanitary conditions, especially in developing countries, where a substantial increase in the disease has been reported in recent years. The study aimed to describe and analyze the occurrence of such disease in children, focusing on the most outstanding theoretical aspects that characterize it. For this purpose, a systematic review of the literature was conducted in PubMed, Google Scholar and Latin American and Caribbean Literature in Health Sciences (LILACS) using logical operators such as "EMPB" OR "Coxsackie A16" AND "Children" AND "Coxsackievirus Infections" AND "Child". A total of 584 research studies in Spanish and English published between 2010 and 2022 were identified, from which, after a scientific quality assessment process using checklists, quality criteria and relevant strength of recommendation and the PRISMA method, 40 articles were selected, to which three gray literature records were added, and 43 records were selected for quantitative data analysis. Hand, foot and mouth disease has a higher incidence in the Asian continent (India, Singapore, Japan and China), where epidemic outbreaks occur every year, mainly affecting the child population. It is caused by several serotypes such as A5, A7, A10, B1, B2, B3 and B5; however, Coxsackievirus A16 (CA16) and Enterovirus 71 (EV-71) are the most frequent among children. The disease causes fever, papulovesicular rash on the hands, feet and genitalia, as well as ulcerative lesions in the mouth. Its incubation period is four to six days, and it is transmitted by direct contact with secretions, fecal material or contaminated objects; its diagnosis is clinical and based on the patient's epidemiological history. As there is no specific treatment, only general measures are taken to alleviate the symptoms and prevent dehydration. Currently, there are outbreaks and serotypes that cause various complications such as encephalitis, myocarditis, hepatitis, acute hemorrhagic conjunctivitis, enteric diseases and herpangina, among others. For this reason, strict epidemiological surveillance of cases and contacts is required, along with education and communication interventions that reduce the risks of spread and infection.

Keywords: Hand, Foot and Mouth Disease; Child; Coxsackie Virus Infections


Introducción

La enfermedad de mano, pie y boca (EMPB) es una afección exantemática altamente contagiosa, frecuente en niños 1-3, causada por el virus coxsackie A16 y el enterovirus 71, aunque también puede producirse por los serotipos A5, A7, A10, B1, B2, B3 y B5. En el 2022 se presentó una serie de brotes de la EMPB a nivel mundial que viene llamando la atención de la comunidad científica y de los sistemas sanitarios por las manifestaciones atípicas de su presentación 1-5. Tiene mayor incidencia en zonas tropicales, la cual se incrementa en poblaciones con higiene deficiente y en hacinamiento 6.

La denominación de virus “coxsackie” se debe a la localidad en donde se identificó por primera vez, situada en Nueva York. Comprende dos subgrupos: el serotipo B6, capaz de producir en los seres humanos complicaciones como encefalitis, miocarditis o hepatitis; y el serotipo A, que origina conjuntivitis hemorrágica aguda, enfermedades entéricas o herpangina. En ambos casos, algunos niños pueden presentar como secuela tardía onicomadesis (desprendimiento indoloro y completo de la uña) 7.

En su forma típica, la EMPB se presenta con malestar general y odinofagia, seguidos de fiebre, dolor bucal y dolor abdominal. La erupción mucocutánea (característica patognomónica) maculopapular se localiza en la mucosa oral, las manos, los pies y, en ocasiones, los glúteos, y evoluciona rápidamente a vesículas grises de 3 a 7 mm que están rodeadas de un círculo eritematoso de forma oval, lineal o en media luna, las cuales forman costras y desaparecen luego de siete a diez días aproximadamente, por lo que el diagnóstico se fundamenta en las manifestaciones clínicas y en los antecedentes epidemiológicos del infectado 8-14.

La EMPB es endémica en el sudeste asiático, donde cada año se producen brotes epidémicos que afectan principalmente a los niños; asimismo, su carácter epidemiológico radica en el corto tiempo del periodo de incubación (media: de cuatro a seis días) y se transmite con facilidad de persona a persona a través del contacto directo con las secreciones (nasales, orales), la vía fecal-oral u objetos contaminados 15-19.

La prevalencia es variada y es más frecuente en países como China, donde el enterovirus E71 produce, en promedio, 500 a 900 defunciones infantiles por año 20. En Cuba, entre el 2017 y el 2018, se presentaron 507 casos en niños menores de cinco años, los cuales evolucionaron favorablemente 7. En el Perú, según el Centro Nacional de Epidemiologia, Prevención y Control de Enfermedades (CDC-Perú), al 30 de junio de 2022 se notificaron 734 casos de niños infectados con EMPB en diez regiones del país, donde Ucayali (260 casos), San Martín (184 casos), Cajamarca (101 casos), Amazonas (30 casos), Apurímac (126 casos), Huánuco (18 casos), Lima (6 casos), Cusco (4 casos), Loreto y Piura (2 casos) fueron las que registraron mayor prevalencia 21. Sin embargo, es preciso señalar que en el Perú estas cifras podrían ser superiores debido a la existencia de un subregistro por la falta de notificación de la enfermedad.

Los lugares cerrados como instituciones educativas y guarderías infantiles son espacios de contagio común, además, al no existir tratamiento específico, las medidas generales para aliviar la clínica y prevenir la deshidratación son esenciales 22,23. Actualmente existen brotes y serotipos que producen diversas complicaciones como daño miocárdico, diabetes mellitus tipo 1 y complicaciones neurológicas 2,24,25; por esta razón, se requiere estricta vigilancia epidemiológica de los casos y contactos, para reducir su propagación e infección.

Estrategia de búsqueda

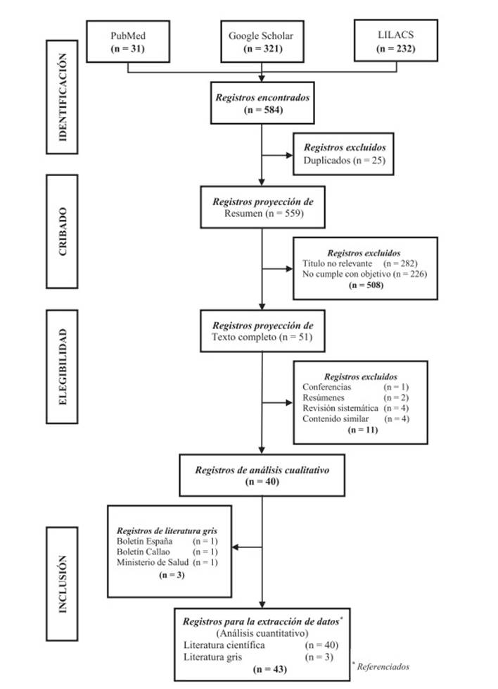
El estudio se realizó en base a la declaración del método PRISMA 26 (Figura 1):

Figura 1 Proceso de selección de los estudios 

Se realizó una búsqueda bibliográfica, en inglés y español, en PubMed, Google Scholar y LILACS, considerando los operadores lógicos de "EMPB" OR "Coxsackie A16” AND “Childrens" y “Coxsackievirus Infections” AND “Child”. Se identificaron 584 publicaciones (PubMed = 31, Google Scholar = 321 y LILACS = 232) y tres registros de literatura gris (Boletín Español [n = 1], Boletín Peruano [n = 1] y Ministerio de Salud [n = 1]). Se excluyeron los siguientes estudios: 25 por estar duplicados, 508 de los de proyección de resúmenes (282 por no relevancia con el título y 226 por no cumplir con en el objetivo) y 11 de los de proyección a texto completo (uno por ser una conferencia, dos por ser resúmenes, cuatro por ser revisiones sistemáticas y cuatro por tener contenidos similares). Tras el análisis, se eligieron 40 publicaciones, a las que se sumaron tres como literatura gris. Finalmente, se incluyeron 43 estudios para la extracción y análisis cuantitativo de datos publicados entre enero de 2010 y junio de 2022. Durante el proceso se consideraron los criterios de calidad de evidencia y graduación de la fuerza de recomendación a fin de garantizar la calidad de la evaluación y la información sistematizada.

El proceso de selección estuvo a cargo de los tres investigadores y dos expertos en el tema (un médico internista y un médico pediatra), quienes validaron la información clínica contenida en cada investigación elegida. Durante la elección de la información se cumplieron y respetaron los principios éticos, no hubo discriminación ni sesgo real o subsidiado derivado de cualquier fuente que pudiera ser interpretado como susceptible de tener interés en los resultados 27.

Características clínicas de la EMPB

Las manifestaciones clínicas suelen presentarse de manera específica en la mayoría de los casos, a diferencia de aquellos donde existe compromiso multiorgánico con complicaciones severas (Tabla 1). Suelen manifestarse con fiebre y exantema papulovesicular en manos, pies 1,7,28-30 y genitales, y un enantema ulceroso en boca 9,31, además de malestar general, odinofagia 7,9 y síntomas respiratorios 9,29,31. Cuando no es posible el diagnóstico en base a las manifestaciones clínicas, son necesarios exámenes de laboratorio donde se muestre leucocitosis con desviación a la izquierda, proteína C reactiva (PCR) (30 mg/l) 1 y fosfatasa alcalina elevada 32.

Tabla 1 Principales características clínicas de la enfermedad de mano, pie y boca 

Signos específicos Autores
Fiebre Sapia et al. (2016) 1
Guo et al. (2020) 28
Rodríguez-Zúñiga et al. (2017) 9
Sun et al. (2018) 29
Velástegui et al. (2016) 30
Hoffmann et al. (2020) 31
Romero et al. (2020) 7
Presencia de máculas, pápulas y ampollas en las manos, los pies, la boca, los pliegues, el tórax, la región perineal y los genitales Sapia et al. (2016) 1
Rodríguez-Zúñiga et al. (2017) 9
Velástegui et al. (2016) 30
Hoffmann et al. (2020) 31
Romero et al. (2020) 7
Malestar general y odinofagia Rodríguez-Zúñiga et al. (2017) 9
Romero et al. (2020) 7
Síntomas respiratorios Rodríguez-Zúñiga et al. (2017) 9
Sun et al. (2018) 29
Romero et al. (2020) 7
Leucocitosis con desviación a la izquierda, proteína C reactiva (PCR) 30 mg/l e incremento de fosfatasa alcalina Sapia et al. (2016) 1
Qin et al. (2019) 32

Trasmisión de la EMPB

La transmisión de los enterovirus (coxsackie A16 y enterovirus-71) es por vía fecal-oral o respiratoria. En los recién nacidos puede transmitirse de manera vertical (antes, durante o después del parto) y mediante la lactancia materna (probable); la transmisión horizontal también es prevalente, y se da entre los integrantes de la familia o por la transmisión nosocomial en guarderías y/o lugares cerrados 33-36. El periodo de incubación se produce entre los cuatro y seis días y afecta con mayor frecuencia a los menores de diez años 9,12. Si bien es cierto que la mayoría suele presentar sintomatología, hay un número considerable de casos asintomáticos 29. El contagio se produce por contacto directo con el fluido vesicular y secreciones orales o respiratorias, además, existe evidencia de que los enterovirus pueden detectarse en las heces hasta diez semanas posinfección y cerca de cuatro semanas en la orofaringe, esto debido a que la estabilidad ambiental innata de los enterovirus favorece su diseminación 37.

Al respecto, un estudio evidenció que existe relación entre la temperatura promedio y la incidencia de EMPB, donde el umbral de temperatura de transmisibilidad es de 13,4 a 18,4 °C en primavera/verano y de 14,5 a 29,3 °C en otoño/invierno, lo cual favorece su propagación y transmisión 38.

Diagnóstico de la EMPB

En la mayoría de los casos el diagnóstico es clínico; sin embargo, a veces se vuelve confuso debido a patologías con clínica similar, como la herpangina y el herpes (cavidad oral) o la varicela (piel), por lo que se requiere de una confirmación virológica diferenciadora 39.

La reacción en cadena de la polimerasa con transcriptasa inversa (RT-PCR, por sus siglas en inglés) triplex en tiempo real de un solo paso se utiliza para la detección simultánea del enterovirus-71, el virus de coxsackie A16 y el panenterovirus, que muestra un espectro de detección favorable 5; la prueba de reacción en cadena de la polimerasa de transcripción inversa cuantitativa fluorescente (qRT-PCR, por sus siglas en inglés) permite determinar el número de copias de ARN viral en las muestras extraídas (28); la reacción en cadena de la polimerasa con transcriptasa inversa (RT-PCR) monoplex en tiempo real permite la detección rápida de varios genogrupos de enterovirus A71 40. Además de los ya mencionados, también se encuentra el diagnóstico no invasivo para detectar inmunoglobulina A (Ig A) específica de EV-A71 en saliva, útil en el diagnóstico de infección por EV-A71 41. (Tabla 2)

Tabla 2 Pruebas diagnósticas para la enfermedad de mano, pie y boca 

Prueba Descripción
RT-PCR triplex Detección simultáneamente de diferentes patógenos de EMPB (EV71, CA16 y pan-enterovirus) 5
qRT-PCR Detección del número de copias de ARN viral en las muestras 28
RT-PCR monoplex en tiempo real Detecta varios genogrupos de EV-A71 40
Inmunoglobulina A (Ig A) Detecta la Ig A específica de EV-A71 en saliva 41

Vacunación contra la EMPB

Entre las tres vacunas contra la EMPB más reconocidas se encuentran las elaboradas en base a péptidos contra el EV-A71, las bivalentes basadas en péptidos EV-A71/CV-A16 y las diseñadas de péptidos tetravalentes 42. De estas, la vacuna EV-A71 conjugada con toxoide diftérico ha demostrado una protección pasiva del 80 % en ratones tras una exposición letal 43-48, asimismo, se conoce que los antisueros generados pueden conferir una protección del 70 % a los ratones tras la exposición mortal al EV-A71 49. Las vacunas que podían conferir inmunidad humana contra el EV-A71 tienen una protección cruzada débil contra la infección CV-A16, como el caso de VLP y las vacunas monovalentes EV-A71 o CV-A16 inactivadas. Para solucionar esta problemática, se elaboró una vacuna bivalente EV-A71/CV-A16 mezclando dosis equivalentes de VLP EV-A71 y CV-A16 o los virus EV-A71 y CV-A16 inactivados, y se produjeron anticuerpos de neutralización cruzada; los sueros inmunitarios de los animales vacunados brindaron protección pasiva contra los desafíos letales del EV-A71 y el CV-A16 50.

Existe otra vacuna bivalente basada en la proteína central del virus de la hepatitis B que provoca títulos elevados de Ig G y neutralización contra el EV-A71 y el CV-A16 51. La vacuna tetravalente (partículas tipo virus [VLP, por sus siglas en inglés] de EV-A71, CV-A16, CV-A6 y CV-A10) contra la EMPB provoca una respuesta de anticuerpos específica y de larga duración, además, brinda protección pasiva contra infecciones únicas o mixtas en ratones; sin embargo, su producción es costosa 52.

En el caso de la vacunación en los niños, desde el año 2016 se ha introducido en el mercado la vacuna contra el enterovirus 71 (EV71). Al respecto, un estudio en China muestra que la vacunación en niños, si bien no disminuyó su incidencia, contribuyó a disminuir la gravedad de los casos, así como la tasa de letalidad 53. Otro estudio chino muestra que, después de la implementación de la vacuna EV71, hubo una reducción significativa en la incidencia de EMPB causada por el EV7; no obstante, se incrementaron los casos ocasionados por otros enterovirus y el CV-A16 54. Aunque se ha demostrado la eficacia de las vacunas mediante ensayos controlados aleatorios, sobre todo en animales, aún se desconoce la evidencia de la eficacia de la vacuna monovalente contra el EV71 55.

Tratamiento antiviral de la EMPB

La mayoría de los casos de la EMPB, por lo general, se resuelven solos; no obstante, hay algunos con presentación clínica extremadamente agresiva que necesitan tratarse de manera prioritaria. El aciclovir, administrado por vía oral, es uno de los antivirales más utilizados, dado que ha demostrado tener resultados satisfactorios; sin embargo, se necesita de estudios aleatorios y ensayos clínicos para conocer los mecanismos y efectos benéficos de este fármaco. Por otro lado, el tratamiento rápido y temprano con inmunoglobulina intravenosa puede reducir la morbimortalidad en los niños 33.

Por otro parte, los péptidos naturales como la lactoferrina, la melitina y los péptidos sintéticos como SP40, RGDS y LVLQTM han mostrado resultados prometedores como potentes antivirales contra el EV-A71, por lo que se consideran seguros, eficaces y presentan menos posibilidades de resistencia 56.

Prevención de la EMPB

Incluye el lavado frecuente de manos con agua y jabón al menos por 20 segundos, especialmente después de ir al baño, toser y estornudar; evitar tocarse los ojos, la nariz y la boca (probable vía de infección); limpiar y desinfectar las superficies, como manijas de las puertas y juguetes de los niños; evitar tanto el contacto con personas infectadas como compartir objetos personales; aislar los casos identificados en el hogar desde la fecha de inicio de los síntomas hasta su remisión. Si se detecta un caso en una institución educativa, se debe disponer la cuarentena del aula implicada y de los contactos familiares (padres, hermanos y primos) por un periodo de hasta diez días 21,57,58.

Por otro lado, tomar medidas preventivas efectivas es particularmente importante para la prevención, reducción y control de la EMPB. Acciones como la intervención de educación intensiva sobre higiene de manos, tanto en los niños como en sus padres, promoverán hábitos de higiene personal 59.

Conclusiones

La EMPB es un proceso infeccioso altamente contagioso, producido principalmente por el virus coxsackie A16 (CA16) y el enterovirus-71 (EV-71). Aunque puede afectar a cualquier grupo etario, su incidencia es mayor en los menores de diez años. Cursa generalmente con un cuadro clínico típico caracterizado por fiebre, exantema papulovesicular (localizado en manos, pies y genitales) y lesiones ulcerosas en la boca. Se transmite por el contacto directo con secreciones (nasales, orales), material fecal (vía fecal-oral) y mediante objetos contaminados. Es frecuente en el continente asiático (India, Singapur, Japón y China), donde se producen brotes epidémicos que afectan principalmente a la población infantil. Se presenta con frecuencia en lugares cerrados, como instituciones educativas y guarderías infantiles. Generalmente, el diagnóstico es clínico y en base a los antecedentes epidemiológicos, y, al no existir un tratamiento específico, solo se toman medidas generales para aliviar la clínica y prevenir la deshidratación. Por esta razón, se requiere de una vacuna segura que incluya la mayoría de los agentes etiológicos y de la implementación de programas de vigilancia epidemiológica para evitar su propagación.

REFERENCIAS BIBLIOGRÁFICAS

1. Sapia EY, Maroni C, Groisman C, Kromer H, Rojo GL, Dastugue M, et al. Genotipificacion del virus de la enfermedad mano-pie-boca atipica en un hospital pediatrico de la ciudad de Buenos Aires, Argentina. Arch Argent Pediatr [Internet]. 2020;118(2):199-203.

2. Zhang X, Zhang Y, Li H, Liu L. Hand-Foot-and-Mouth DiseaseAssociated Enterovirus and the Development of Multivalent HFMD Vaccines. Int J Mol Sci. 2022;24(1):169.

3. Yan R, He J, Liu G, Zhong J, Xu J, Zheng K, et al. Drug Repositioning for Hand, Foot, and Mouth Disease. Viruses [Internet]. 2022;15(1):75.

4. Pinela DA, Moran TT, Sanchez KL, Reina RG. La enfermedad de boca, manos y pie (EBMP). Diagnostico diferencial. RECIAMUC [Internet]. 2020;4(1):40-8.

5. Zhang S, Wang J, Yan Q, He S, Zhou W, Ge S, et al. A one-step, triplex, real-time RT-PCR assay for the simultaneous detection of enterovirus 71, coxsackie A16 and pan-enterovirus in a single tube. PLoS One [Internet]. 2014; 9(7):e102724.

6. Han Y, Ji H, Shen W, Duan C, Cui T, Chen L, et al. Disease burden in patients with severe hand, foot, and mouth disease in Jiangsu province: a cross-sectional study. Hum Vaccin Immunother [Internet]. 2022;18(5):2049168.

7. Romero MR, Saldana M, Iser OA, Ponce Y, Gonzales N. Sindrome manos, pies, boca. Casos atendidos en el cuerpo de guardia. Revista Medica Multimed [Internet]. 2020;24(1):140-53.

8. Robinson CR, Doane FW, Rhodes AJ. Report of an outbreak of febrile illness with pharyngeal lesions and exanthem: Toronto, summer 1957; isolation of group A Coxsackie virus. Can Med Assoc J [Internet]. 1958;79(8):615-21.

9. Rodriguez-Zuniga MJM, Vertiz-Garate K, Cortez-Franco F, QujianoGomero E. Enfermedad de mano pie y boca en un hospital del Callao, 2016. Rev Peru Med Exp Salud Publica [Internet]. 2017;34(1):132-8.

10. Delgado-Azanero W, Concha-Cusihuallpa H, Guevara JO. Infeccion de la mucosa oral por Coxsackie virus: enfermedad de boca-mano-pie. Rev Estomatol Hered [Internet]. 2007;17(1):35-9.

11. Iannuzzelli CG, Caballero JP, Sanz MP, Valle F, Casanova M. Brote de onicomadesis secundaria a enfermedad boca-mano-pie en la provincia de Teruel. Bol Pediatr Arag Rioj Sor [Internet]. 2014;44(2):40-3.

12. Carmona RCC, Machado BC, Reis FC, Jorge AMV, Cilli A, Dias AMN, et al. Hand, foot, and mouth disease outbreak by Coxsackievirus A6 during COVID-19 pandemic in 2021, Sao Paulo, Brazil. J Clin Virol [Internet]. 2022;154:105245.

13. Zhang J, Li XH, Li XF, Shang X. Etiology and epidemiology of hand, foot and mouth disease in China. Zhonghua Liu Xing Bing Xue Za Zhi [Internet]. 2022;43(5):771-83.

14. Navarro E, Almagro D, Jaldo R, Del Moral MC, Arbol G, Perez M, et al. Brote de enfermedad boca-mano-pie y onicomadesis causado por el virus Coxsackie A16, Granada. An Pediatr (Barc) [Internet]. 2015;82(4):235-41.

15. Ang LW, Koh BK, Chan KP, Chua LT, James L, Goh KT. Epidemiology and control of hand, foot and mouth disease in Singapore, 20012007. Ann Acad Med Singap [Internet]. 2009;38(2):106-12.

16. Sharma A, Mahajan VK, Mehta KS, Chauhan PS, Manvi S, Chauhan A. Hand, foot and mouth disease: a single centre retrospective study of 403 new cases and brief review of relevant Indian literature to understand clinical, epidemiological, and virological attributes of a long-lasting Indian epidemic. Indian Dermatol Online J [Internet]. 2022;13(3):310-20.

17. Guo J, Cao Z, Liu H, Xu J, Zhao L, Gao L, et al. Epidemiology of hand, foot, and mouth disease and the genetic characteristics of Coxsackievirus A16 in Taiyuan, Shanxi, China from 2010 to 2021. Front Cell Infect Microbiol [Internet]. 2022;12:1040414.

18. Chen G, Huang C, Luo D, Yang J, Shi Y, Li D, et al. Clinical characteristics and treatment overview in hand-foot-and-mouth disease using realworld evidence based on hospital information system. Evid Based Complement Alternat Med [Internet]. 2022;2022(1):1-9.

19. Wu P, Huang L, Kao C, Fan T, Cheng A, Chang L. An outbreak of coxsackievirus A16 infection: comparison with other enteroviruses in a preschool in Taipei. J Microbiol Immunol Infect [Internet]. 2010;43(4):271-7.

20. Yang Z, Zhang Q, Cowling BJ, Lau EH. Estimating the incubation period of hand, foot and mouth disease for children in different age groups. Sci Rep [Internet]. 2017;7(1):16464.

21. Ministerio de Salud del Peru. Actualizacion de la ocurrencia de brotes de la enfermedad mano, pie y boca (EMPB). Peru [Internet]. Lima: MINSA; 2022 p. 1-3. (Alerta Epidemiologica). Disponible en: https://www.dge.gob.pe/epipublic/uploads/alertas/alertas_20227_19_162731.pdf

22. Ministerio de Salud del Peru. Boletin Epidemiologico [Internet]. Lima: MINSA; 2022. Disponible en: https://www.dge.gob.pe/epipublic/uploads/boletin/boletin_202212_22_162519.pdf

23. Tang X, Zhang L, Meng J, Chen H, Cheng Y, Yuan P, et al. Epidemiological Characteristics of Hand, Foot, and Mouth Disease and the Effect of EV71 Vaccination in Chengdu from 2012 to 2020. Sichuan Da Xue Xue Bao Yi Xue Ban [Internet]. 2022;53(6):1074-80.

24. Li J, Zhang C, Li Y, Li C, Zhang S, Wang S, et al. Coxsackievirus A6 was the most common enterovirus serotype causing hand, foot, and mouth disease in Shiyan city, central China. World J Clin Cases [Internet]. 2022;10(31):11358-70.

25. Xing J, Wang K, Wang G, Li N, Zhang Y. Recent advances in enterovirus A71 pathogenesis: a focus on fatal human enterovirus A71 infection. Arch Virol [Internet]. 2022;167(12):2483-501.

26. Page MJ, McKenzie JE, Bossuyt PM, Boutron I, Hoffmann TC, Mulrow CD, et al. Declaracion PRISMA 2020: una guia actualizada para la publicacion de revisiones sistematicas. Rev Esp Cardiol [Internet]. 2021;74(9):790-9.

27. Arevalo RA, Ortuno G, Arevalo DE. Revisiones sistematicas (1). Revista Medica [Internet]. 2010;16(2):69-80.

28. Guo Y, Liu Y, Song J, Liu P, Wu S, Tan Y, et al. Association of CD14 rs2569190 G/A genetic polymorphism with the severity of enterovirus 71 infection in Chinese children. Virology [Internet]. 2020;548:25-30.

29. Sun BJ, Chen HJ, Chen Y, An XD, Zhou BS. The risk factors of acquiring severe hand, foot, and mouth disease: a meta-analysis. Can J Infect Dis Med Microbiol [Internet]. 2018(1):1-12.

30. Velastegui J, Cova L, Galarza Y, Fierro P, Leon Baryolo L, Bustillos A case report of hand, foot, and mouth disease with necrotizing mucocutaneous lesions. Medwave [Internet]. 2019;19(7):e7683.

31. Hoffmann AJ, Latrous M, Lam JM. Atypical hand-foot-and-mouth disease. CMAJ [Internet]. 2020;192(3):e69.

32. Qin L, Dang D, Wang X, Zhang R, Feng H, Ren J, et al. Identification of immune and metabolic predictors of severe hand-foot-mouth disease. PLoS One [Internet]. 2019;14(5):e0216993.

33. Chuang YY, Chering YC. Enteroviral infection in neonates. J Microbiol Immunol Infect [Internet]. 2019;52(6):851-7. ]

34. Saguil A, Kane SF, Lauters R, Mercado MG. Hand-Foot-and-Mouth disease: rapid evidence review. Am Fam Physician [Internet]. 2019;100(7):408-14.

35. Cabrera D, Ramos A, Espinosa E. Enfermedad boca mano pie. Presentacion de un caso. Medisur [Internet]. 2018;16(3):469-74.

36. Nicola AC, Malpica R. Enfermedad de boca-mano-pie y virus Coxsackie. Reporte de un caso. Multiciencias [Internet]. 2012;12(3):300-4.

37. Garcia C. Enfermedad gloso-mano-peda. Rev Med Sinerg [Internet]. 2018;3(4):9-12.

38. Xu J, Yang M, Zhao Z, Wang M, Guo Z, Zhu Y, et al. Meteorological factors and the transmissibility of hand, foot, and mouth disease in Xiamen City, China Front Med (Lausanne) [Internet]. 2021;22(7):597375.

39. Mukherjee S, Babu NA, Rajesh E, Mastan KMK. Viral lesions of oral cavity. Indian J Forensic Med Toxicol [Internet]. 2020;14(4):1108-13.

40. Volle R, Joffret ML, Ndiaye K, Fernandez-Garcia MD, Razafindratsimandresy R, Heraud JM, et al. Development of a new internally controlled one-step real-time RT-PCR for the molecular detection of enterovirus A71 in Africa and Madagascar. Front Microbiol [Internet]. 2020;11:1907.

41. Changbing W, Yi C, Tiantian X, Xingui T, Jianbin Z, Wenkuan L, et al. A novel method to diagnose the infection of enterovirus A71 in children by detecting IgA from saliva. J Med Virol [Internet]. 2020;92(8):1059-64.

42. Anasir MI, Poh CL. Advances in antigenic peptide-based vaccine and neutralizing antibodies against viruses causing Hand, Foot, and Mouth disease. Int J Mol Sci [Internet]. 2019;20(6):1256.

43. Foo DGW, Alonso S, Chow VTK, Poh CL. Passive protection against lethal enterovirus 71 infection in newborn mice by neutralizing antibodies elicited by a synthetic peptide. Microbes and Infection [Internet]. 2007;9(11):1299-306.

44. Huang L, Wang T, Liu X, Fu Y, Zhang S, Chu Q, et al. Spatial-temporaldemographic and virological changes of hand, foot and mouth disease incidence after vaccination in a vulnerable region of China. BMC Public Health [Internet]. 2022;22(1):1468.

45. Bian L, Gao F, Mao Q, Sun S, Wu X, Liu S, et al. Hand, foot, and mouth disease associated with coxsackievirus A10: more serious than it seems. Expert Rev Anti Infect Ther [Internet]. 2019;17(4):233-42.

46. Hu L, Maimaiti H, Zhou L, Gao J, Lu Y. Changing serotypes of hand, foot and mouth disease in Shanghai, 2017-2019. Gut Pathog [Internet]. 2022;14(1):12.

47. Hong J, Liu F, Qi H, Tu W, Ward MP, Ren M, et al. Changing epidemiology of hand, foot, and mouth disease in China, 2013-2019: a population-based study. Lancet Reg Health West Pac [Internet]. 2022;20:100370.

48. Liu LL, Liu ZK, Zhang L, Li N, Fang T, Zhang DL, et al. Epidemiological and etiological characteristics of hand, foot and mouth disease among children aged 5 years and younger in Ningbo (2016 to 2019). Beijing Da Xue Xue Bao Yi Xue Ban [Internet]. 2021;53(3):491-7.

49. Tian X, Su X, Li X, Li H, Li T, Zhou Z, et al. Protection against enterovirus 71 with neutralizing epitope incorporation within adenovirus type 3 hexon. PloS One [Internet]. 2012;7(7):e41381.

50. Sun S, Jiang L, Liang Z, Mao Q, Su W, Zhang H, et al. Evaluation of monovalent and bivalent vaccines against lethal Enterovirus 71 and Coxsackievirus A16 infection in newborn mice. Hum Vaccin Immunother [Internet]. 2014;10(10):2885-95.

51. Xu L, He D, Yang L, Li Z, Ye X, Yu H, et al. A broadly crossprotective vaccine presenting the neighboring epitopes within the VP1 GH loop and VP2 EF loop of Enterovirus 71. Sci Rep [Internet]. 2015;5(31):12973.

52. Zhang W, Dai W, Zhang C, Zhou Y, Xiong P, Wang S, et al. A viruslike particle-based tetravalent vaccine for hand, foot, and mouth disease elicits broad and balanced protective immunity. Emerg Microbes Infect [Internet]. 2018;7(1):94.

53. Li J, Hongchao J, Xin T, Xueshan X, Tian H. Epidemiological characteristics of hand, foot, and mouth disease in Yunnan Province, China, 2008-2019. BMC Infect Dis [Internet]. 2021;21(1):751.

54. Han Y, Chen Z, Zheng K, Li X, Kong J, Duan X, et al. Epidemiology of hand, foot, and mouth disease before and after the introduction of Enterovirus 71 vaccines in Chengdu, China, 2009-2018. Pediatr Infect Dis J [Internet]. 2020;39(10):969-78.

55. Du Z, Huang Y, Bloom MS, Zhang Z, Yang Z, Lu J, et al. Assessing the vaccine effectiveness for hand, foot, and mouth disease in Guangzhou, China: a time-series analysis. Hum Vaccin Immunother [Internet]. 2021;17(1):217-23.

56. Lalani S, Gew LT, Poh CL. Antiviral peptides against Enterovirus A71 causing hand, foot and mouth disease. Peptides [Internet]. 2021;136:170443.

57. Gobierno de Aragon. Informacion de Salud Publica para profesionales sanitarios [Internet]. Aragon: Boletin epidemiologico de Aragon; 2018 p. 1-2. Disponible en: https://www.aragon.es/documents/20127/674325/BEsA_201844.pdf/34ae2c0b-02f7-84441679-13ebcd268707

58. Leung AKC, Lam JM, Barankin B, Leong KF, Hon KL. Hand, foot, and mouth disease: a narrative review. Recent Adv Inflamm Allergy Drug Discov [Internet]. 2022;16(2):77-95.

59. Guo N, Ma H, Deng J, Ma Y, Huang L, Guo R, et al. Effect of hand washing and personal hygiene on hand food mouth disease: A community intervention study. Medicine (Baltimore) [Internet]. 2018;97(51):e13144.

Fuentes de financiamiento: Los autores financiaron este artículo.

Recibido: 30 de Marzo de 2023; Revisado: 28 de Abril de 2023; Aprobado: 25 de Mayo de 2023

Correspondencia: José Uberli Herrera Ortiz Dirección: Jr. Santa Asunción n.° 241. Chota, Cajamarca. Teléfono: (+51) 976 003 080 Correo electrónico: juherrerao@unach.edu.pe

Contribuciones de los autores: JUHO, AOG y WOCC han contribuido de forma similar en la idea original, el diseño del estudio, la recolección y análisis de la bibliografía, la redacción del borrador, la redacción del artículo y la aprobación de la versión final. Asimismo, han participado en la concepción y diseño del artículo, el análisis e interpretación de datos, la redacción del artículo, la revisión crítica del artículo y la aprobación de la versión final.

Conflicto de intereses: Los autores declaran no tener ningún conflicto de intereses.

Creative Commons License Este es un artículo publicado en acceso abierto bajo una licencia Creative Commons